Luogo di origine: | La Cina Guangdong Zhongshan |
Marca: | BLK 7985 China |
Numero di modello: | Nero 7985 |
Quantità di ordine minimo: | 100kg |
---|---|
Imballaggi particolari: | 10kg/bag laminato plastico di alluminio bag+carton |
Tempi di consegna: | 10 giorni lavorativi |
Termini di pagamento: | T/T, L/C, D/A, D/P, Western Union |
Capacità di alimentazione: | 300 tonnellate |
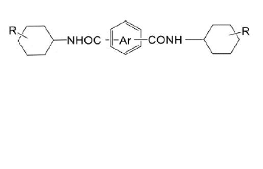
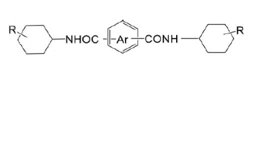
Struttura di Chem: | N, dicarboxamide di N'-dicyclohexyl-2,6-naphthalene | CAS: | 153250-52-3 |
---|---|---|---|
Applicazione: | Modifica della proprietà dei pp | Nome chimico: | agente nucleating (del beta) ß |
Name di modello: | Nero 7985 | Compund: | Composto arilico dell'amide |
Purezza: | 99% | Sinonimi: | TMB-5 |
Evidenziare: | Chiarificante di TMB-5 pp,153250-52-3 chiarificante dei pp,Chiarificante di purezza pp di 99% |
• Chiarificante di nero 7985 per i pp
Produttore del chiarificante della cima della Cina.
Campione libero da Fedex UPS per la prova.
Trasporto veloce dalla Cina.
Caratteristiche
• L'agente nucleating BLK-7985 (TMB-5) è una varietà rappresentativa di agente nucleating del β-cristallo amide tipo del polipropilene. Può dissolversi nella colata della resina alla temperatura d'elaborazione di polipropilene (pp) e ricristallizza con la diminuzione della temperatura della colata per formare i cristalli a forma di bastoncino con il più grande allungamento, così inducendo la nucleazione dei pp con i cristalli β-cristallini per migliorare la forza d'impatto, la temperatura di deviazione di calore e la microporosità dei prodotti. Al contrario, BLK-7985 (TMB-5) ha una struttura stabile ed il contenuto β-cristallino dei pp non è colpito dall'estrusione ripetuta della colata.
Applicazione
• Ampiamente usato in tubi di PP-R, prodotti dello stampaggio ad iniezione e processo a secco della preparazione del diaframma della batteria al litio e ha buon effetto sinergico con il carbonato di calcio. Inoltre, BLK-7985 ha una nucleazione che promuove l'effetto su polybutene-1 (PB-1).
Proprietà fisiche e chimiche
• Il additon reale dipende dal polimero e dalle proprietà dei prodotti di rivestimento.
• Le proprietà di cui sopra sono verificate dalle prove di laboratorio sufficienti, mentre non è la garanzia. Nell'uso del processo dell'importo specifico essere basato sulla formulazione dei processi dell'attrezzatura e dell'altra considerazione completa.
Pacchetto & consegna
• borsa di alluminio del laminato plastico 10kg/bag, a prova d'umidità + cartone di carta o o customerized
• 100-1000KGS 5 giorni, 1000-10,000 CHILOGRAMMI 15 giorni ecc.
Trattamento e stoccaggio
• Immagazzinato nell'asciutto ed arieggiato dentro la dispensa, impedisca la luce solare diretta, leggermente il mucchio e posare.
• Il vestiario di protezione dovrebbe essere indossato quando gli operatori stanno trattando, o essere esposto a, questo prodotto. Vedi il MSDS per ulteriore consiglio dettagliato.
Persona di contatto: Mr. SUPING. JIANG
Telefono: +86 135 2473 2599
Antiparassitario agricolo di CAS 62-73-7 DDVP, CE 1000 di DDVP per difesa delle colture
Residuo basso 100% dell'insetticida di CAS 62-73-7 DDVP della CE di bassa tossicità
Insetticida rapido del diclorvos di CAS 62-73-7 50% per gli afidi del cotone
Antiparassitario CAS 62-73-7 del diclorvos della CE di difesa delle colture 77,5%
Il controllo dei parassiti CAS agrochimico 62-73-7 DDVP spruzza per le mosche delle zanzare
Insetticida di CAS 62-73-7 95% DDVP, insetticida dell'albero da frutto
Insetticida sistemico del diclorvos di uso C4H7Cl2O4P della famiglia organico
Vasto spruzzo potente dell'insetticida del mais di spettro di elevata purezza in tamburi 250KGS
Forte contatto di effetto che uccide il prodotto chimico arsenico dello spruzzo di 10ppm DDVP
Liquido agricolo dell'antiparassitario del diclorvos di 200-547-7 99%
Spruzzo del diclorvos di CAS 62-73-7 di avvelenamento dell'apparato digerente per la salute pubblica
Spruzzo dell'insetticida del diclorvos del controllo degli insetti per i depositi dell'alimento